您好,欢迎光临上海顿美有限公司官方网站!

收藏本站 | 网站地图 | 联系我们 | EnglishEnglish

中国乳胶助剂一体化供应商

专业太阳能EVA胶膜助剂供应商

咨询服务热线

86-021-61317011

热门关键词: 2024 1 2025 2024 2025 2023

公司地址:上海市杨浦区国定路335号2号楼1603室

电话:86-021-61317011

传真:86-021-61317011

手机:13917881220
17701607391(橡胶助剂)
18616710227(塑料助剂)
18116375117(橡胶助剂)

邮编:200080

联系人:沈小姐
周经理(橡胶助剂)
王经理(塑料助剂)
王经理(橡胶助剂)

E-mail:dm@shdunmei.com  

您的位置: 首页 > 产品中心 > 助交联剂

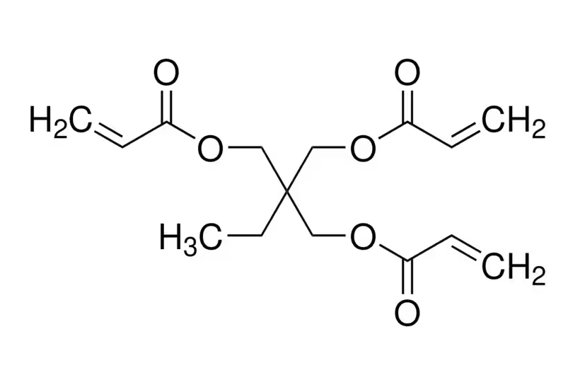
TMPTA

作者:顿美新材 发布时间:2025-09-16 17:13

化学名称:三羟甲基丙烷三丙烯酸酯(TMPTA)是一种三官能团单体,用于生产具有多种应用的各种聚合物。三羟甲基丙烷三丙烯酸酯最常见的用途是紫外固化涂料、油墨和粘合剂、树脂、光敏材料和高吸附型材料的生产。此外, TMPTA基聚合物用于生产热固树脂,这种树脂用于生产复合材料、层压材料和涂层。TMPTA 也用于与其它单体共聚以定制聚合物的性质,满足特定要求。


65842637-9bb3-4dc5-9da4-5c5120a8d7a0.png


应用:

三羟甲基丙烷三丙烯酸酯可用作制备以下物质的起始原料:

通过原位溶液聚合制备的聚(三羟甲基丙烷三丙烯酸酯/Al(PTMPTA/Al)纳米复合材料。

可交联丙烯酰胺/巴豆酸保水剂水凝胶。

用于染料敏化太阳能电池的聚合物电解质。




包装:  200kg/桶(液体)


在线QQ1 在线QQ2 拨打电话 阿里旺旺 官方微信
86-021-61317011
联系我们